Relações Trigonométricas
Por Redação
As relações entre os valores das funções trigonométricas de um mesmo arco são denominadas relações trigonométricas.

Observações:
a) cotg x = co-tangente de x
b) sec x = secante de x
c) cosec x = co-ssecante de x
Aplicação
Simplificar a expressão:
1 – sen x . cos x . tg

Aplicação
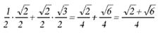
Calcular sen 75°.
Solução:
Podemos observar que 75º = 30º + 45º; logo sen 75º = sen (30º + 45º). A partir da fórmula, temos:
sen (30º + 45º) = sen 30º. cos 45º + sen 45º . cos 30º =
![]()
