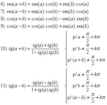
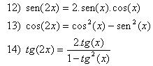
Identidades trigonométricas Por Redação31/05/2012 às 17:46 Fórmulas da Adição As fórmulas acima são verdadeiras para arcos positivos, cujo a soma pertence ao primeiro quadrante. Fórmulas da Multiplicação