O que são produtos notáveis?
Por Victor Palandi
Muitas matérias escolares estão entre as mais temidas pela maior parte dos alunos, isso se explica por conta da dificuldade diante da matemática, por exemplo, que exige muito raciocínio lógico.
Algumas matérias fazem parte da vida inteira e estão presentes no nosso dia a dia, como, as contas de soma, subtração, divisão e por ai vai. Já outras não fazem parte da rotina diária, mas também são importantes, pois na maior parte das vezes estão quase sempre presentes em grandes vestibulares para diversos tipos de cursos e também muitos concursos públicos, dos quais avaliam o desempenho do aluno pelas questões acertadas.
Existem várias matérias de matemática que são as mais comuns, e uma delas são os produtos notáveis. Geralmente é apresentada durante o ensino médio, e continua sendo aplicada em faculdades de cursos específicos, voltados para a área, como a contabilidade, administração, entre alguns outros cursos que necessita do aprendizado dos cálculos.

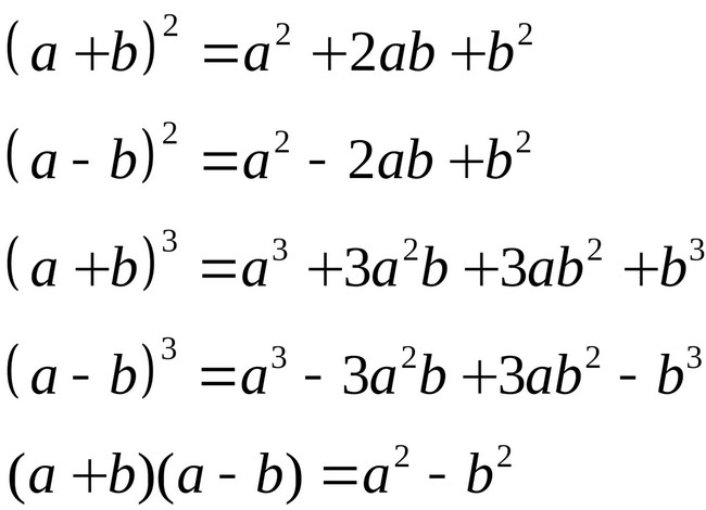
Os produtos notáveis nada mais são do que produtos que representam expressões algébricas, e que assim possuem uma maneira geral para conseguir resolver as questões. O uso destes produtos costuma ser utilizado para ter mais agilidade nos cálculos, além de também facilita-los. Dessa forma, é possível encontrar meios mais fáceis para conseguir obter o resultado da expressão.
Assim, é utilizado o termo “notável”, onde se dá o nome de produtos notáveis, para chegar a resolução final ainda mais fácil e rápido. Há séculos atrás, os gregos já faziam uso deste meio para conseguir chegar aos resultados desejados. Claro que hoje a matéria está ainda mais rica de detalhes e repleta de meios para conseguir chegar ao resultado final.

Dessa forma, a matemática está rodeada de matérias importantes para o aprendizado dos alunos. Embora receba a fama de ser difícil, nada disso pode se tornar verdade, quando treinada diariamente. E os produtos notáveis estão entre as matérias que são consideradas uma das mais importantes para os estudos.
Além disso, os produtos notáveis esta entre as matérias mais fáceis da matemática e rápida de se resolver. Com isso, ela tem o objetivo de agilizar os cálculos para conseguir chegar ao resultado ainda mais rápido. Por isso, não é preciso temer as matérias de matemática, pois o grande segredo para conseguir entender qualquer outra matéria é o treino. Isso porque, diferentemente das teorias, a matemática precisa ser treinada todos os dias. É necessário realizar os exercícios, para somente assim entender os cálculos.

Monstrous Math: aprenda matemática jogando!
Confira algumas dicas para gravar fórmulas para provas