Propriedades das Progressões Geométricas
Por Redação
, atualizado em
1.ª propriedade
Numa P.G. com número ímpar de termos, o quadrado do termo médio é igual ao produto dos extremos.
Exemplo:
Na PG (3, 6, 12), temos:
![]()
2.ª propriedade
O produto dos termos eqüidistantes dos extremos de uma P.G. é igual ao produto desses extremos.
Exemplo:
Na P.G. (4, 8, 16, 32, 64), temos:
4.64 = 8.32 = 256
3.ª propriedade
A seqüência (a, b, c), com a
0, se, e somente se, o quadrado do termo médio é igual ao produto dos extremos, isto é, b2 = ac.
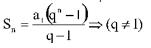
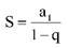
SOMA DOS TERMOS DE UMA P.G. FINITA
A soma dos termos de uma progressão geométrica de n termos é dada por:
![]()
Observação – Para uma P. G. constante (q = 1), a soma dos n termos é dada por: Sn = n . a1
Aplicações
01. Calcule a soma dos 6 primeiros termos da P.G. (1, 3, 9, 27, 81…).

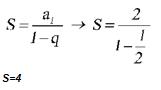
SOMA DOS TERMOS DE UMA P.G. INFINITA
Neste tópico, observaremos que para um número infinito de termos, o último termo tenderá a se anular.
A soma dos infinitos termos dessa P. G. é dada por:
![]()
Aplicação
Calcule a soma dos termos da P. G. (2, 1, 1/2, 1/4…).
Solução:
Temos: a1 = 2 , q = 1/2
A soma dos termos dessa P. G. infinita é:

