Foco para diversas luzes monocromáticas
Por Redação
Foco para as diversas luzes monocromáticas
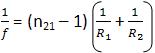
A fórmula de Halley
, nos mostra que a distância
focal f irá depender do índice de refração relativo n21, pois quanto maior o valor de n21, menor será a distância focal de f.
Já se pensarmos por outro lado, iremos ver que o índice de refração relativo n21 irá depender da luz monocromática que será usada, sendo assim considerada uma função sempre crescente da freqüência da luz.
