Cálculo da distância focal
Por Redação
Cálculo da distância focal
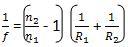
Se tratando da distância focal, podemos dizer que ela depende:
• Da geometria da lente que é representada pelos raios de curvatura R1 e R2.
• Do meio externo que envolve a lente que é representado pelo seu índice de refração absoluto (n1).
• Do material que a lente é feita, representado pelo seu índice de refração absoluto (n2). ,
Já se tratando do valor da distância focal (f), podemos dizer que ela é calculada através da equação de Halley ou dos fabricantes de lentes.
Vejamos:
![]()
