Teorema do Impulso
Por Redação
Aplicação
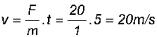
Sob a ação de uma força resultante constante de intensidade 20N, um corpo, de 1,0kg, parte do repouso no instante t = 0. Calcule o módulo do impulso da resultante, desde t = 0 até t = 5,0s, e a velocidade final.
Solução:
=![]()
t
I = 20 . 5 = 100Ns
Para calcular a velocidade, lembre-se de que
v = vo + at, sendo vo = 0 e a = F/m:
![]()
Momento linear (
) – Também chamado de momentum ou quantidade de movimento, o momento linear é uma grandeza vetorial dada pela expressão:
= m
a) Tem módulo proporcional ao módulo de
.
b) É uma grandeza instantânea (depende da definição da velocidade vetorial instantânea).
c) Tem sempre direção e sentido iguais aos de
.
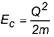
Relação entre Energia Cinética e Momento Linear

Substituindo (II) em (I):
![]()
Teorema do Impulso 
Substituindo (II) em (I): 
O Impulso Total exercido em um sistema durante um certo tempo corresponde à variação do momento linear desse sistema durante o intervalo de tempo considerado.
Importante: do Teorema do Impulso, pode-se constatar que IMPULSO e MOMENTO LINEAR são grandezas físicas de mesma espécie, pois a primeira é dada pela variação da segunda. Por isso, têm as mesmas dimensões e podem ser traduzidas nas mesmas unidades.
