Relação entre a energia cinética e o módulo da quantidade de movimento
Por Redação
6. Relação entre a energia cinética e o módulo da quantidade de movimento
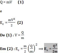
Considere uma partícula de massa m, Energia Cinética Ec e Quantidade de Movimento de módulo Q.
Se V é o módulo da velocidade da partícula, vem:

Considerando um caso particular em que duas partículas, A e B, tiverem quantidades de movimento com o mesmo módulo (QA = QB), nesse caso suas energias cinéticas serão inversamente proporcionais às respectivas massas.
![]()
