Outras formas de equação da reta
Por Redação
Outras formas de equação da reta
Equação reduzida
Considere a reta r, não-vertical (b ≠ 0), na qual a equação geral é: ax + by + c = 0.
Logo:
![]()
Se
é o coeficiente angular e se fizermos
, teremos a Equação Reduzida da reta r:
y = m . x + h
Equação Segmentária
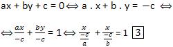
Considere a reta r, de equação geral ax + by + c = 0, não paralela a nenhum dos eixos coordenados e que não passa pela origem, ou seja, a ≠ 0, b ≠ 0 e c ≠ 0. Assim a reta r terá interceptos em
.

Se: P = r ∩
⇒ P = (p; 0)
Q = r ∩
⇒ Q = (0; q)
Logo:

Pela equação geral, temos:

Substituindo 1 e 2 em 3, temos a Equação Segmentária da reta r:
![]()
Equações Paramétricas
São equações que dão as coordenadas (x; y) de qualquer ponto da reta em função de um parâmetro t:

