Variação de Temperatura
Por Redação
É importante notar a diferença da medição de uma temperatura e a medição da variação da temperatura, podemos notar que as escalas Celsius e Kelvin possuem a mesma variação de temperatura 100ºC, observe:
Variação da Escala Celsius:
![]()
Variação da Escala Kelvin:
OBS: Basta notar que as duas escalas são divididas em 100 partes, portanto uma certa variação de temperatura na escala Celsius será igual à variação na escala Kelvin.
Já a Escala Fahrenheit é dividida em 180 partes e não corresponde a mesma variação nas outras duas escalas:
![]()
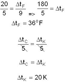
Relação de Conversão de Variações:

Para entender melhor façamos um exemplo. Uma variação de 20oC corresponde a uma variação de quanto nas escalas Celsius e Kelvin
Dados:
![]()
Solução:

