Dilatação Linear
Por Redação
Aplicação
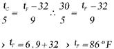
Numa região do rio Purus, o termômetro indica 30ºC. Qual o valor dessa temperatura na escala Fahrenheit?
Solução:

Variação de Temperatura – Consideremos que a temperatura de um sistema varia de um valor
inicial t1 para um valor final t2 num dado intervalo de tempo. A variação de temperatura
t é dada pela diferença entre o valor final, t2 e o valor inicial t1.
t = t2 – t1
Logicamente, a variação de temperatura será positiva (
t > 0) quando a temperatura aumentar (t2 > t1), negativa (
t < 0) quando a temperatura final for menor que a inicial (t2 < t1).
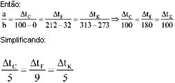
Vamos correlacionar as variações de temperatura expressas na escala Celsius (
tC), Fahrenheit (
tF) e Kelvin (
tK).

Aplicação
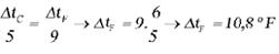
No dia da inauguração do largo de São Sebastião, no centro histórico de Manaus, ao lado do teatro Amazonas a temperatura registrada pela manhã foi de 28ºC e à tarde foi de 34ºC. Qual é o valor dessa variação de temperatura expresso na escala:
a) Kelvin?
b) Fahrenheit?
Solução:
a)
![]()
b)
![]()
Dilatação Térmica dos Sólidos
A experiência mostra que os sólidos, ao sofrerem um aquecimento, dilatam-se e, ao serem resfriados, contraem-se.
A dilatação ou a contração ocorre em três dimensões: comprimento, largura e espessura.
A essa variação nas dimensões de um sólido causada pelo aquecimento ou resfriamento denominamos dilatação térmica.
Dilatação Linear
É aquela em que predomina a variação em uma única dimensão, ou seja, o comprimento.
Para estudarmos a dilatação linear, consideremos uma barra de comprimento inicial Li, à temperatura inicial ti.
Aumentando a temperatura da barra para tf, seu comprimento passa a Lf.
Em que
L = Lf – Li é a variação de comprimento, isto é, a dilatação linear da barra, na variação de temperatura
t = tf – ti.

Experimentalmente, verificou-se que:
a)
L é diretamente proporcional ao comprimento inicial Li .
b)
L é diretamente proporcional à variação de
temperatura t.
c)
L depende do material que constitui a barra.
A partir dessas relações, podemos escrever.
L = Li
t ou Lf = Li (1 + ![]()
t)
Em que a é uma constante característica do material que constitui a barra, denominada coeficiente de dilatação linear. A unidade de
é
1/ºC = ºC-1.
