Molaridade ou Concentração Molar
Por Redação
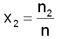
Reação molar do solvente (x2) indica a relação entre o número de mols do solvente e o número de mols da solução.
![]()
Observação: x1 + x2 = 1
n1 número de mols de soluto é calculado pela fórmula:
![]()
n2 = número de mols do solvente é calculado pela fórmula.
![]()
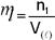
Molaridade ou Concentração molar ![]()
Indica a relação entre o número de mols do soluto e o volume da solução, em litros.
![]()
Unidade: mol/l ou molar.
Observação – Relação entre a molaridade e a concentração comum:

Aplicação
(Unitau-SP) Para matar baratas, precisamos fazer uma solução aquosa a 30% de ácido bórico (d = 1,34g/cm3), concentração molar de:
(Dados: H = 1; B = 10,8; O = 16)
a) 6,5M
b) 6,0M
c) 5,5M
d) 5,0M
e) 4,5M
Solução:
d= 1,34g/cm3 T = 30%

