Matrizes de um sistema e determinante de um sistema
Por Redação
3. Matrizes de um sistema e determinante do sistema
Matriz incompleta
Matriz incompleta (M.I), ligada à um sistema, é toda matriz cujo seus elementos são, ordenadamente, os coeficientes das incógnitas.
Exemplo:
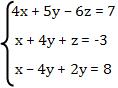
Neste sistema linear:

Sua matriz incompleta é:

Determinante do sistema
Quando a matriz incompleta for quadrada podemos dizer que o seu determinante é o determinante do sistema (D).
Matriz completa
Matriz completa (M.C), ligada à um sistema, é toda matriz que é constituída pelos elementos da matriz incompleta e por mais uma coluna formada pelos segundos membros de cada equação do sistema.
Neste caso a matriz completa do sistema linear do exemplo acima seria:

