Método da igualdade
Por Redação
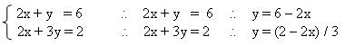
Este método consiste em isolar uma incógnita numa equação e a mesma incógnita na outra, depois basta igualar as duas, recaindo-se numa equação do 1º grau com uma única incógnita. Exemplo:
![]()
1º passo: vamos isolar o y na primeira e na segunda equação equação para podermos igualar as equações.

2º passo: igualar as duas equações para encontrar o valor de x.

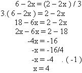
3º passo: Substituir x = 4 em y = 6 – 2x, para encontrar o valor de y.
y = 6 – 2x
y = 6 – 2.4
y = 6 – 8
y = -2
4º passo: dar a solução do sistema.
S = { (4, -2) }
Como podemos observar, independente do método, a solução é a mesma. Então basta escolher o método que seja mais rápido e seguro.

Sistema de equação do 1º grau