O que é Refração da Luz
Por Redação
Refração da Luz
Quando um raio de luz passa de um meio para outro, a sua velocidade muda, sofrendo, em conseqüência, um desvio na sua direção de propagação; a esse fenômeno dá-se o nome de refração da luz.
Índice de refração – A velocidade da luz em cada meio está associada ao índice de refração absoluto do meio: ![]()
onde c é a velocidade da luz no vácuo ( 300.000km/s) e v é a velocidade da luz no meio.
O índice de refração é também chamado de refringência. Diz-se que mais refringente é o meio com maior índice de refração; menos refringente, o meio com menor índice de refração.
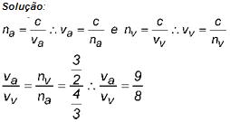
Aplicação
(UF–CE) O índice de refração da água é 4/3 e o do vidro é 3/2. Qual é a razão entre a velocidade da luz na água e no vidro?

A LEI DE SNELL-DESCARTES
Ao incidir na superfície de separação (dióptro) dos meios 1 e 2, parte do feixe de luz é refletida e parte é refratada.

O produto do seno do ângulo de incidência pelo valor do índice de refração do meio onde se propaga o raio incidente (n1) é igual ao produto do seno do ângulo de refração pelo índice de refração do meio onde se propaga o raio refratado (n2).
n1 . sen i = n2 . sen r
Importante:
a) Passando a luz de um meio menos refringente para outro mais refringente, o raio refratado aproxima-se da normal.
b) Passando a luz de um meio mais refringente para outro menos refringente, o raio sofre um desvio afastando-se da normal.
Aplicação
Um raio de luz propaga-se no ar (nar = 1,0) e incide em uma placa de vidro (nvidro = 1,4), sofrendo refração. O ângulo de incidência é 45º. Calcule o ângulo de refração.
Solução:
n1 = sen i = n2 . sen r
1 . sen 45º = 1,4 . sen r 0,7 = 1,4 . sen r
sen r = 0,5 r = 30º
