Alguns sistemas básicos de P.A e P.G
Por Redação
1º)Sendo o 5º termo igual a 25 e o 12º termo igual a 60. Calcular a razão:

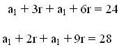
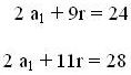
2º) Sendo a soma do 4º termo com o 7º termo igual a 24 e a soma do 3º termo com o 10º termo igual a28.
Calcule o 1º termo e a razão :

3º) O 4º termo é 24 e o 7º é 192. Calcule o valor da razão :

4º) A soma do 3º termo de uma P.G com o 5º é 180 e a soma do 4º termo com o 6º termo é 540. Calcule a razão:
I) a3 + a3 = 180 a1.q2 + a1q4 = 180
II) a4 + a6 = 540 a1 – q3 +a1.q5 = 540 q.(a1.q2 + a1– q4 ) = 540
Dividindo o II por I : q = 540/180 q = 3
