União de eventos
Por Redação
4. União de eventos
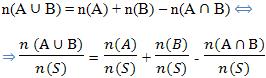
Considere A e B como dois eventos de um espaço amostral S, finito e não vazio, temos:


Logo:
![]()
Eventos mutuamente exclusivos

Considerando que
, nesse caso A e B serão denominados mutuamente exclusivos. Observe que
, pois:
![]()
Quando os eventos A1, A2, A3, …, An de S forem, de dois em dois, sempre mutuamente exclusivos, nesse caso temos, analogicamente:
![]()
Eventos exaustivos
Quando os eventos A1, A2, A3, …, An de S forem, de dois em dois, mutuamente exclusivos, estes serão denominados exaustivos se ![]()

Então, logo:

Portanto:
![]()
