Intersecção de eventos
Por Redação
7. Intersecção de eventos
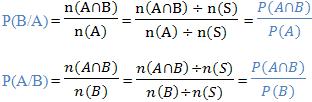
Considerando A e B como dois eventos de um espaço amostral S, finito e não vazio, logo:

Portanto:

Considerando A e B como eventos independentes, logo P(B/A) = P(B), P(A/B) = P(A), sendo assim:
![]()
Para saber se os eventos A e B são independentes, podemos utilizar a definição ou calcular a probabilidade de
.
Veja a representação:

