Teoremas importantes
Por Redação
12. Teoremas importantes
1) Para que a função polinomial A seja divisível por x – α é necessário que α seja raiz de A.
Demonstração

2) Quando a função polinomial A for divisível por x – α e por x – β, sendo α ≠ β, esta função também será divisível por (x – α) . (x – β).
Demonstração
Através do resultado da questão anterior, particularmente onde o resultado é r1 = r2 = 0, chegamos a conclusão de que o resto da divisão de A(x) por (x – α) . (x – β), sendo α ≠ β, é:

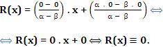
Portanto, com α ≠ β, temos:

Considerando os itens anteriores, podemos concluir que:
3) Para que a função polinomial A seja divisível por (x – α) . (x – β), sendo α ≠ β é necessário que α e β sejam as raízes de A.
