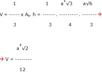
Volume de um tetraedro regular Por Redação31/05/2012 às 17:49 Volume de um tetraedro regular A medida do tetraedro VABC é dada por a, e o volume por V, assim: