Potências de i
Por Redação
6. Potências de i
Veja o cálculo das primeiras potências de i com expoente natural:
i0 = 1, por definição
i1 = i, por definição
i2 = – 1, constatado no item 4
i3 = i2 . i = (-1) . i = -i
i4 = i2 . i2 = (-1) . (-1) = 1
i5 = i4 . i = 1 . i = i
i6 = i4 . i2 = 1 . (-1) = -1
i7 = i4 . i3 = 1 . (-i) = -i
i8 = i4 . i4 = 1 . 1 = 1, etc.
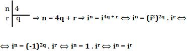
Teorema
Considerando
e r o resto da divisão de n, logo in = ir
Veja a demonstração:

Sendo r o resto da divisão de n por 4, logo ![]()
Portanto:

Conclusão:

