Velocidade escalar
Por Redação
velocidade escalar
Quando falamos da relação entre velocidade escalar e tempo, dizemos que é uma função do 1° grau, que é representada por: V0.

Notas:
* O movimento uniformemente variado, pode ser definido também através da velocidade escalar.
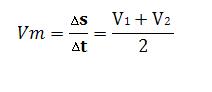
* A velocidade escalar média, estando entre dois pontos t1 e t2, pode ser calculada também através da média aritmética entre duas velocidades escalares V1 e V2, nos instantes t1 e t2.
Vejamos:

* Dependendo do valor de t 1 e t2, a velocidade escalar média entre esses dois instantes t1 e t2, pode variar, pois a velocidade escalar não é constante.
