Interpretação física dos parâmetros
Por Redação
Interpretação física dos parâmetros
Parâmetro A:
Com a relação de espaço-tempo, t = 0 representa a origem dos tempo., e o valor adotado pelo espaço será considerado o espaço inicial (s0). Vejamos:
t = 0 ⇔ s = s0
s = A + Bt + Ct²
s0 = A +B.0 + C. 0²
A = s0
Portanto, o parâmetro A representa o espaço inicial s0.
Parâmetro B:
Através da derivação da função: s = f(t), temos a velocidade escalar instantânea (V).
Vejamos:

Se fizermos na relação V = f(t), a origem dos tempos (t = 0), o valor adotado pela velocidade escalar será chamado de velocidade escalar inicial (V0).
Vejamos:
t = 0 ⇔ V = V0
V = B + 2C t
V0 = B + 2C t
B = V0
Portanto, o parâmetro B representa a velocidade escalar inicial (V0).
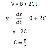
Parâmetro C:
Através da função V = f(t), temos a aceleração escalar instantânea.
Vejamos:

Portanto, o parâmetro C significa a metade da aceleração escalar.
Com o entendimento dos parâmetros A, B e C, podemos escrever a função horária de duas maneiras:

