Gráfico aceleração escalar x tempo
Por Redação
Gráfico aceleração escalar x tempo
Sabemos que a aceleração escalar é constante e não nula, sendo assim, o gráfico da função y = f(t) possui uma reta paralela ao eixo dos tempo..
Vejamos:


Nota:
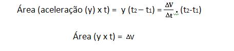
* A velocidade escalar ( v), é medida pela área sob o gráfico y = f(t).
Vejamos:

