Operações com Matrizes
Por Redação
Matriz Identidade ou Matriz Unidade

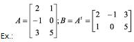
Matriz Transposta (At)
É a matriz que se obtém trocando ordenadamente as linhas pelas colunas da matriz dada.
Se B = (bij)mxn é transposta de A = (aij)mxn, então bij = aij.

Matriz Diagonal
É uma matriz quadrada onde aij = 0, para i
j, isto é, os elementos que não estão na diagonal principal são nulos.

Matriz Simétrica
É uma matriz quadrada A tal que At = A, isto é, aij = aij para i j.

Matriz Anti-simétrica
É uma matriz quadrada A tal que At = -A , isto é, aij = -aij para i e j quaisquer.

Operações com Matrizes
Igualdade de Matrizes
Duas matrizes A = (aij)mxn e B = (bij)mxn de mesma ordem, são iguais se, e somente se, aij = bij.
![]()
Propriedades da Igualdade
– Se A = B, então At = Bt
– (At)t = A
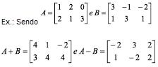
Adição e subtração de Matrizes
A soma de duas matrizes A = (aij)mxn e B = (bij)mxn de mesma ordem é uma matriz C = (aij)mxn tal que C = aij + bij.
A subtração de matrizes é dada pela sentença:
A – B = A + (– B )

Propriedades da adição de Matrizes
a) A + B = B + A (COMUTATIVA)
b) (A + B) + C = A + (B + C) (ASSOCIATIVA)
c) A + 0 = 0 + A = A (ELEMENTO NEUTRO)
d) A + (-A) = (-A) + A = 0 (ELEMENTO OPOSTO)
e) (A + B)T = AT + BT (TRANSPOSTA DA SOMA)
