O que são Matrizes
Por Redação
Matrizes
Uma matriz de ordem m x n é qualquer conjunto de m . n elementos dispostos em m linhas e n colunas.
Representação

Cada elemento de uma matriz é localizado por dois índices: aij. O primeiro indica a linha, e o segundo, a coluna.
A matriz A pode ser representada abreviadamente por uma sentença matemática que indica a lei de formação para seus elementos.
A = (aij)mxn | lei de formação.
Ex.: (aij)2×3 | aij = i . j
![]()
Classificação das Matrizes
Em função dos valores de m e n, classifica-se a matriz A = (aij)mxn em:

Ex.: é uma matriz quadrada de ordem 3.
Numa matriz A = (aij)mxn quadrada de ordem n, os elementos aij com i = j constituem a diagonal principal. Os elementos aij com i + j = n + 1 formam a diagonal secundária.

Tipos de Matrizes
Matriz Nula
É a matriz onde todos os elementos são nulos.
![]()
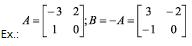
Matriz Oposta
Matriz oposta de uma matriz A = (aij)mxn é a matriz B = (bij)mxn tal que bij = -aij.
![]()
