Como obter a matriz inversa
Por Redação
3. Como obter a matriz inversa
Podemos obter a matriz inversa utilizando a fórmula abaixo:

Obtendo-se, seguindo os seguintes passos:
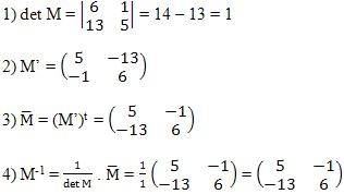
1) O determinante de M (det M)
2) A matriz M’ (matriz dos co-fatores), substituindo cada elemento de M pelo respectivo co-fator.
3) A matriz
(matriz adjunta), estando certo de que
= (M’)t.
4) A inversa de M-1, fazendo a multiplicação de
por
.
Veja o exemplo abaixo:

