Densidade de um sólido em relação a um líquido
Por Redação
Densidade de um sólido em relação a um líquido
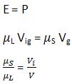
Para entendermos melhor sobre essa densidade, vamos pensar em um sólido, representado por S que está flutuando na superfície do líquido representado por L, homogêneo e que está em equilíbrio sob a ação da gravidade, como nos mostra a figura abaixo, vejamos:

Em relação ao equilíbrio do sólido temos:

Portanto podemos concluir que a densidade do sólido com relação ai líquido será a mesma que a fração do sólido que fica mergulhada no líquido.
