Estudo da Reta
Por Redação
, atualizado em
Coeficiente angular (m) de uma reta r não perpendicular ao eixo das abscissas é o número real m que expressa a tangente trigonométrica de sua inclinação
, ou seja:
m = tg ![]()

EQUAÇÃO DA RETA
Equação geral da reta
Toda reta do plano possui uma equação da forma:
ax + by + c = 0
na qual a, b, c são constantes e a e b não simultaneamente nulos.
Exemplos:
a) – 5x + 3y – 1 = 0
b) 9x – 4y – 13 = 0
Equação reduzida da reta
É toda equação de reta onde a variável y fica isolada. Na equação da reta na forma reduzida podemos identificar o coeficiente angular do lado da variável x e o coeficiente linear (termo independente da equação).
Exemplos:
a) y = 8x – 10
Coeficiente angular = 8
Coeficiente linear = – 10
b) y = – 4x + 12
Coeficiente angular = – 4
Coeficiente linear = 12
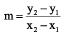
CÁLCULO DO COEFICIENTE ANGULAR E DA EQUAÇÃO DA RETA
Para calcular o coeficiente angular (não possuindo o valor da inclinação
) e achar a equação da reta, utiliza-se uma única fórmula:
Importante: A partir da fórmula acima, podemos determinar o coeficiente angular e a equação da reta da seguinte forma:
![]()
Coeficiente angular Equação da reta
2 valores para o y. O valor do m.
2 valores para o n. 1 valor para o n.
1 valor para o x.
Aplicação
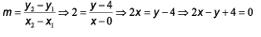
Determine a equação da reta que passa pelos A (4, 12) e B (0, 4)
Solução:
1.º passo (cálculo do m – 2 valores para o y e 2 para o x):
![]()
2.º passo (equação da reta – o valor do m, 1 valor de y e um valor de x):,
![]()
