Conceito de velocidade escalar instantânea
Por Redação
Conceito de velocidade escalar instantânea
A velocidade escalar instantânea é considerada um limite da velocidade escalar média, quando o intervalo de tempo for zero.
Vejamos alguns exemplos:
![]() |
A chita é um animal muito rápido ela chega atingir uma velocidade escalar de até 110 km/h. |
![]() |
O velocímetro de um carro tem a função de medir a velocidade instantânea do carro. Ele também indica a velocidade em que o carro está em todos os instantes. |
A velocidade escalar instântanea é totalmente derivada do espaço, em relação ao tempo. Essa “derivação” pode ser representada pela equação:

Existem também funções polinominais, como por exemplo: s = atn + bt + c, e para essas funções temos:
![]()
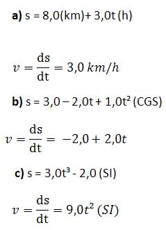
Vejamos alguns exemplos:

Notas:
* É chamado de velocidade escalar inicial (V0), quando a velocidade escalar instantânea no instante t é igual a 0. Vejamos um exemplo:
para t = 0: V0 = -2,0 + 2,0 (cm/s) sua V0 = -2,0 cm/s.
* A velocidade escalar instantânea, possui um sinal que define o sentido do movimento ao longo da trajetória. Vejamos os exemplos: se V > 0 o corpo vai no sentido positivo da trajetória. Já se V < 0 o corpo vai na direção negativa da trajatória.
* A velocidade escalar tende a zero, se caso o sentido do movimento estiver em ponto de inversão.


