Natureza da Corrente Elétrica
Por Redação
Natureza da corrente elétrica
A corrente elétrica pode ser classificada em:
a) Corrente eletrônica – Constituída pelo deslocamento dos elétrons livres. Ocorre, principalmente, nos condutores metálicos.

b) Corrente iônica – Constituída pelo deslocamento dos íons positivos e negativos, movendo-se simultaneamente em sentidos opostos. Ocorre nas soluções eletrolíticas (soluções de ácidos, sais ou bases) e nos gases ionizados (lâmpadas fluorescentes).

Nas soluções eletrolíticas, as partículas portadoras de carga são os íons, que se movimentam sob a ação da força do campo elétrico. Os íons positivos movimentam-se no mesmo sentido do campo elétrico
; enquanto os negativos movimentam-se no sentido oposto.
Intensidade da corrente elétrica
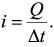
Consideremos um condutor metálico de secção transversal S, sendo percorrido por uma corrente elétrica.

Suponha que, num intervalo de tempo t, pela secção transversal S passe uma quantidade de carga Q, em módulo.
Define-se como intensidade da corrente elétrica i a relação:
![]()
A quantidade de carga Q é dada pelo produto do número n de elétrons pela carga do elétron.
Q = ne
Em homenagem ao físico e matemático francês André Marie Ampère (1775-1836), a unidade de corrente elétrica, no SI, é o ampère (A).
![]()
É comum o emprego de submúltiplos do ampère: o miliampère (mA) e o micro-ampère (A)
1 mA = 10-3A
1 µA = 10-3A
Tipos de corrente elétrica
Consideram-se dois tipos de corrente elétrica:
a) Corrente contínua (CC) – é aquela cujo sentido permanece constante. Quando, além do sentido, a intensidade também se mantém constante, a corrente é chamada corrente contínua constante. É o que ocorre, por exemplo, nas correntes estabelecidas por uma bateria de automóvel e por uma pilha.
b) Corrente alternada (CA) – é aquela cuja intensidade e cujo sentido variam periodicamente. Esse é o caso das correntes utilizadas em residências, que são fornecidas pelas usinas hidrelétricas, em que temos uma corrente alternada de freqüência 60 ciclos por segundo.
Suas representações gráficas são respectivamente:

