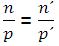
Equação de Gauss para os dioptros planos
Por Redação
Equação de Gauss para os dioptros planos
Considerando:
p, como sendo à distância do objeto P à superfície S;
p´, como sendo a distância P´ à superfície S;
n, como sendo o índice de refração absoluto do meio onde está o objeto P;
n´, como sendo o índice de refração absoluto de outro meio.
Temos que para os raios de luz que estão próximos da reta normal à superfície S passando por P, com isso temos as condições de aproximação de Gauss, logo temos:
![]()
