Dilatação Térmica dos Líquidos
Por Redação
Como um líquido não possui forma definida (ele terá a forma do volume que o contém) sua dilatação respeita tudo o que vimos na dilatação volumétrica.
Existe um fator importante a ser analisado. Como o líquido estará num recipiente, ao se dilatar deveremos levar em conta a dilatação do recipiente.

Temos que:
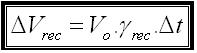
→ A dilatação do recipiente:

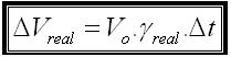
→ A dilatação do líquido (real):

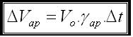
→A dilatação Aparente:

→ Coeficiente Aparente:

