Áreas e Volumes
Por Redação
Área Lateral : Al
A superfície lateral de um cilindro é a reunião das geratrizes. A área dessa superfície é chamada área lateral do cilindro e é indicada por Al.
A superfície lateral de um cilindro circular reto, de altura h, e cujos círculos das bases têm raio r, planificada, é um retângulo de dimensões 2r (comprimento da circunferência da base) e h (altura do cilindro).

Área Total: At
A superfície total de um cilindro é a reunião da superfície lateral com os círculos das bases. A área dessa superfície é a área total do cilindro e é indicada por At.

At = Al + 2Ab
Substituindo-se Al = 2rh e Ab = r2 , vem:
At = 2r(h + r)
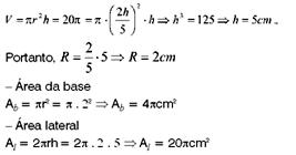
Aplicação
Seja V = 20
cm3 o volume de um cilindro reto cujo raio mede 40 % da medida da altura. Vamos determinar o valor de sua área total.
Solução:
Sendo r o raio da base do cilindro de altura h, temos:
r = 40 % ; h = 2h/5

