Movimentos de Projéteis
Por Redação
2. MOVIMENTO DE PROJÉTEIS
LANÇAMENTO HORIZONTAL
A partir de um ponto situado a uma altura h, acima do solo, o móvel é lançado horizontalmente e percorre uma trajetória parabólica, que pode ser construída utilizando-se a composição de dois movimentos independentes:
a) Movimento horizontal – Nesse movimento, o corpo percorre espaços iguais (designados por L, na figura) em tempos iguais: movimento uniforme (velocidade constante).
b) Movimento vertical – Nessa direção, o móvel está em queda livre (MUV acelerado) a partir do repouso. Os deslocamentos verticais obedecem às proporções de Galileu: 1d, 3d, 5d, …, (2n–1)d (veja Aprovar 16, p. 5).
Aplicações

Importante: para corpos lançados da mesma altura, o tempo de queda é o mesmo, independente das massas dos corpos e de suas velocidades horizontais de lançamento (desprezando-se os efeitos do ar).
Aplicação
01. Uma bolinha rola por toda a extensão de uma mesa horizontal de 5m de altura e a abandona com uma velocidade horizontal de 12m/s. Calcule o tempo de queda e a distância do pé da mesa ao ponto onde cairá a bolinha (g = 10m/s2).
Solução:
Calculemos, inicialmente, o tempo de queda, considerando apenas o movimento vertical (queda livre – MUV acelerado):
![]()
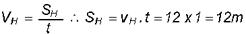
Considerando agora o movimento horizontal (uniforme), teremos:
![]()
(o corpo cairá a 12m do pé da mesa).
LANÇAMENTO OBLÍQUO
A velocidade de lançamento forma com a horizontal um ângulo distinto de 0o e de 90o.

A velocidade Vo pode ser decomposta em duas componentes: Vox (componente da velocidade no eixo dos x) e Voy (componente da velocidade no eixo dos y):
Vox = Vo . cos
Voy = Vo . sen![]()
O lançamento oblíquo resulta da composição de dois movimentos independentes:
a) Movimento horizontal – Esse movimento é uniforme, uma vez que Vox é constante (desprezando-se a resistência do ar).
b) Movimento vertical – Nesse movimento, a velocidade é variável, pois o corpo está sujeito à aceleração da gravidade: na subida, o movimento é retardado (velocidade e aceleração têm sentidos contrários); na descida, o movimento é acelerado (velocidade e aceleração têm sentidos iguais).

Importante: o alcance é o mesmo para diferentes corpos, lançados com a mesma velocidade inicial e com ângulos de lançamento complementares (aqueles cuja soma vale 90o).

