Expressão do vetor posição em função das coordenadas cartesianas de posição


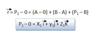
Conforme os três eixos cartesianos, o vetor P1 – O pode ser considerado a soma de seus componentes. Vejamos o esquema: 

Portanto teremos: