Aceleração Escalar Média
Por Redação
Aceleração Escalar Média
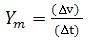
A aceleração escalar média (ym) é considerada a relação entre a variação de velocidade ( v) e o intervalo de tempo ( t) que ocorreu esta variação.
Velocidade de uma partícula é a razão, segundo a qual, sua posição varia com o tempo. Seja uma partícula situada num ponto A, num instante t1. Em um instante posterior, t2 , a partícula estará num ponto B.
A equação da aceleração escalar média é:
![]()
Aceleração escalar instantânea
Quando a aceleração escalar média chega ao seu limite, temos a aceleração escalar instantânea, que designa a aceleração do corpo em um determinado momento, isto é, quando o intervalo de tempo propende a zero.

Podemos dizer que, esta aceleração se origina da velocidade escalar instantânea V = f(t) de acordo com o tempo.

A equação
pode ser escrita também da seguinte forma:

Fotografia Estroboscópica
A fotografia estroboscópica e um método usado para analisar o movimento de um corpo. Para este procedimento é necessário uma câmara fotográfica, uma lente e uma lâmpada direcionada ao corpo que será analisado.
Para executar este estudo, faça o seguinte:
Acenda e apague a luz, iluminando o corpo que está sendo fotografado, com intervalos de tempo controlados. Deixe o obturador da câmera aberto no momento em que o movimento estiver sendo fotografado.
Também pode ser feito da seguinte forma:
Abra e feche o obturador da câmera com intervalos de tempo controlados, e deixe a luz acesa todo o momento em que o corpo estiver sendo fotografado.
