Fórmula Fundamental da Calorimetria
Por Redação
Fórmula Fundamental da Calorimetria
Consideremos um corpo de massa m à temperatura inicial t1.
Fornecendo-se uma quantidade de calor Q a esse corpo, suponha que sua temperatura aumente até tf.

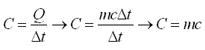
A experiência mostra que a quantidade de calor Q é proporcional à massa m e à variação de temperatura (tf – ti). Logo:
Q = mc(tf – ti) ou Q = mc
t
Temos:
c = calor específico da substância;
t= tf – ti = variação de temperatura.
Observações:
1. Se tf > ti o corpo recebe calor, isto é, Q > 0; se tf < ti o corpo cede calor, isto é, Q < 0.
2. O produto m.c é a capacidade térmica do corpo.

Aplicações
01. Um bloco de ferro com massa de 600g está a uma temperatura de 20ºC. O calor específico do ferro é igual a 0,114cal/g.ºC.
a) Qual a quantidade de calor que o bloco deve receber para que sua temperatura passe de 20ºC a 50ºC?
b) Qual a quantidade de calor que o bloco deve ceder para que sua temperatura varie de 20ºC a –5ºC.
Solução:
a) Dados: m = 600g; ti = 20ºC; c = 0,114cal/g.ºC; tf = 50ºC
Q = mc(tf – ti) Q = 600 . 0,114 . (50 – 20)
Q = 2 052cal
b) Q = mc(tf – ti) Q = 600 . 0,114 . (-5 – 20)
Q = -1 710cal
02. Sob uma chama constante, de potência 192,5W, um corpo sofre um aumento de temperatura de 40°C em 2min. Determine, em cal/°C, a capacidade térmica desse corpo. Considere 1cal = 4,2J.
Solução:
A quantidade de calor fornecida ao corpo pela chama é:

