Gráficos da função logarítmica
Por Redação
g) Logaritmo do quociente:


3. FUNÇÃO LOGARÍTMICA
É toda função f:
que associa a cada x o logaritmo, na base b, de x:
f(x) = logb x
Exemplos:
a) f(x) = log3 x
b) g(x) = log1/3 x
Gráficos da função logarítmica

Observações:
a) O gráfico da função logarítmica passa sempre pelo ponto (1,0).
b) O gráfico nunca toca o eixo y e não ocupa pontos dos quadrantes II e III.
c) Quando a > 1, a função logarítmica é crescente (x1 > x2 loga x1 > loga x2).
d) Quando 0 < a <1, a função logarítmica é decrescente (x1 > x2 loga x1 < loga x2).
4. EQUAÇÕES LOGARÍTMICAS
Para resolver equações logarítmicas, devemos aplicar as propriedades e, em seguida, verificar se os valores obtidos para a incógnita estão de acordo com as condições de existência estabelecidas.
Exemplo:
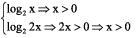
Resolver a equação log2 x + log2 2x = 3.
Solução:
Condições de existência:
![]()
Aplicando a propriedade do logaritmo do produto, e a definição de logaritmo, temos:
log2 x + log2 2x = 3 →log2 (x . 2x) = 3 →
log2 2x2 = 3 →23 = 2x2 →8 = 2x2 → x2 = 4→ x = 2 ou x = -2
Comparando os valores obtidos com as condições de existência estabelecidas, verificamos que – 2 é um valor impróprio.
Logo:
V = {2}
