Movimento Uniforme Variado (MUV)

CARACTERÍSTICAS
a) aceleração escalar constante;

b) velocidade escalar variável uniformemente – Dizer que a velocidade varia de maneira uniforme no tempo é afirmar que ela varia em “quantidades” iguais em tempos iguais.

CLASSIFICAÇÃO DO MUV

a) Movimento acelerado uniformemente – O módulo da velocidade escalar aumenta ao longo do tempo. Velocidade e aceleração escalares têm sentidos e sinais iguais.

b) Movimento retardado uniformemente – O módulo da velocidade escalar diminui no decurso do tempo. Velocidade e aceleração escalares têm sentidos e sinais contrários.

EXPRESSÕES DO MUV

a) Função horária da velocidade: v = v0 + at

b) Função horária do espaço:

c) Equação de Torricelli: v2 = v2o + 2aS (expressão do MUV que independe do tempo).

Aplicações

01. Num teste de desempenho, um carro consegue atingir a velocidade de 88m/s, em 8s. Sabendo-se que o movimento do carro é uniformemente acelerado, e que ele parte do repouso, qual a distância percorrida durante os 8s?

Solução:
A aceleração do carro é:

v = vo + at 88 = 0 + a . 8 a = 11m/s2

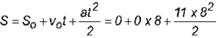
A distância percorrida:

S= 352m

02. Um ônibus, deslocando-se a 20m/s, é desacelerado até o repouso com aceleração constante. O ônibus percorre 100m antes de parar. Calcule a aceleração do ônibus, em módulo.

Solução:

Quando, num MUV (aceleração constante), o tempo é omitido, use Torricelli:

v2 = v2o + 2aS

02 = 202 + 2a . 100 a = -2m/s2

Em módulo:

a = 2m/s2