Lançamento horizontal
Por Redação
Lançamento horizontal
A partir de um ponto situado a uma altura h, acima do solo, o móvel é lançado horizontalmente e percorre uma trajetória parabólica, que pode ser construída utilizando-se a composição de dois movimentos independentes:
a) Movimento horizontal – Nesse movimento, o corpo percorre espaços iguais (designados por L, na figura) em tempos iguais: movimento uniforme (velocidade constante).
b) Movimento vertical – Nessa direção, o móvel está em queda livre (MUV acelerado) a partir do repouso. Os deslocamentos verticais obedecem às proporções de Galileu: 1d, 3d, 5d, …, (2n–1)d.
Aplicações:

Importante: para corpos lançados da mesma altura, o tempo de queda é o mesmo, independente das massas dos corpos e de suas velocidades horizontais de lançamento (desprezando-se os efeitos do ar).
Aplicação
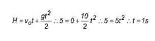
01. Uma bolinha rola por toda a extensão de uma mesa horizontal de 5m de altura e a abandona com uma velocidade horizontal de 12m/s. Calcule o tempo de queda e a distância do pé da mesa ao ponto onde cairá a bolinha (g = 10m/s2).
Solução:
Calculemos, inicialmente, o tempo de queda, considerando apenas o movimento vertical (queda livre – MUV acelerado):

Considerando agora o movimento horizontal (uniforme), teremos:
![]()
(o corpo cairá a 12m do pé da mesa).
É importante lembrarmos que o tempo de queda não irá depender da velocidade horizontal de lançamento.
