3 – Propriedade dos números binomiais 
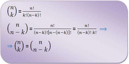
a) Binomiais complementares 

Os números binomiais , são iguais e denominados como complementares.

Supondo que n ≥ k: 

Demonstração;

Conseqüência da propriedade 
Se os números naturais n, k e p forem tais que n ≥ k e n ≥ p, temos

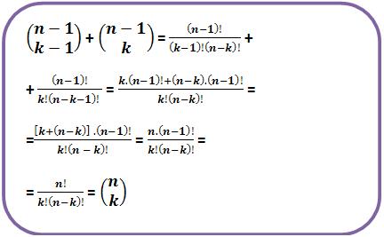
Relação de STIFEEL 
Se n ∈ N*, k ∈ N* e n ≥ k, temos:

Demonstração:

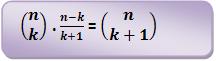
Relação de Fermat 

Através da Relação de Fermat é possível calcular facilmente os coeficientes do desenvolvimento de (x + y)n.
Se n ∈ N, k ∈ N e n ≥ k.

Demonstração: