Propriedades do triângulo de Pascal
Por Redação
6 – Propriedade do triângulo de Pascal
a) A partir da segunda linha, dois binomiais eqüidistantes dos extremos são iguais, pois são binomiais complementares.
Exemplo:
A linha do triângulo correspondente a n = 5 é:

b) A soma de todos os binomiais da linha n é 2n.

Exemplo:
![]()
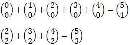
c) A soma dos n primeiros binomiais da coluna k é igual ao binomial localizado na próxima linha e na próxima coluna.

Exemplos:

Generalizando:

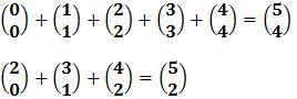
d) A soma dos n primeiros binomiais de uma diagonal, é igual ao binomial localizado abaixo da última parcela.
Exemplos:

Exemplo:

Generalizando:

