Construção do triângulo
Por Redação
5 – Construção do triângulo
Para construir um triângulo, basta calcular os números
pela definição.
Vejamos como construir o triângulo sem calcular cada um dos binomiais.
a) O primeiro e o último elemento de cada linha são sempre iguais a 1, pois

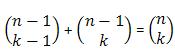
b) Os demais elementos de cada linha são obtidos usando a Relação de Stifel.
Veja estes binomiais de relação
, organizados no Triângulo de Pascal sugerem que a soma de um binomial com o binomial da direita é igual ao binomial abaixo deste último.

E, portanto:

Dessa forma é possível construir o triangulo:






