Propriedades dos materiais

As propriedades dos materiais se dividem em específicas e gerais.

As propriedades gerais são características comuns em quase todas as substâncias, já as específicas dizem respeito a uma ou um pequeno grupo de substâncias.

Propriedades gerais

A) Extensão
Extensão é todo o espaço ocupado pela matéria.

B) Inércia
É uma propriedade responsável por preservar o movimento ou repouso da matéria uniforme e reto. É importante saber que quanto maior for a massa, maior será a inércia, pois a massa é considerada a medida da inércia.

C) Impenetrabilidade
Essa propriedade diz respeito ao fato de que, dois corpos não podem ocupar o mesmo espaço ao mesmo tempo.

Como por exemplo, se enchermos uma banheira com água até a superfície, e em seguida entrarmos nela, a água da banheira transbordará. 

D) Divisibilidade
Essa propriedade diz respeito a divisão de partículas pequenas da matéria, sem que ela perca suas características.

Exemplo: 

Açúcar dissolvido em água.
Água dividida em diversos recipientes.

E) Compressibilidade
Essa propriedade diz respeito a diminuição do volume de um corpo. Os gases são os mais fáceis de serem comprimidos.

Propriedades específicas

1ª) Ponto de fusão (PF)

O ponto de fusão é a temperatura em que um material passa do estado sólido para o estado líquido. A temperatura do ponto de fusão de cada material varia.

Observe o exemplo: (1atm

Nitrogênio FP = – 210ºC.
Álcool comum FP = – 143ºC
Água FP = 0ºC
Cloreto de sódio FP = 801ºC

2ª) Ponto de ebulição (PE)

O ponto de ebulição é a temperatura em que um material passa do estado líquido para o estado gasoso. A temperatura do ponto de ebulição de cada material varia.

Observe o exemplo: (1atm)

Nitrogênio FP = – 196ºC.
Álcool comum FP = – 78ºC
Água FP = 100ºC
Cloreto de sódio FP = 1490ºC 

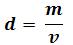
3ª) Densidade absoluta ou massa específica 

Como podemos observar na fórmula acima, a densidade é considerada a massa dividida pelo volume. Lembrando que a unidade de medida de sua massa é g/cm3

Vejamos um exemplo: 

• Se colocarmos uma pedra dentro de um copo cheio de água, iremos perceber que a pedra irá afundar, pois a pedra é mais densa que a água. 

4ª) Dureza

Essa propriedade mede a resistência dos materiais. Para descobrir se um material é mais duro que o outro é necessário um teste de atrito.
Obs.: O diamante é a substância mais resistente que existe.

Exemplo:

Vamos imaginar uma madeira e um estilete de aço. Este estilete irá riscar a madeira, portanto ele é mais resistente, porém se ao invés de madeira usarmos o quartzo, percebemos que ele é mais forte que o estilete de aço que não risca o quartzo. 

5ª) Maleabilidade

Os materiais maleáveis podem ser reduzidos a lâminas, como por exemplo, a prata, o ouro, o zinco, entre outros…

6ª) Ductilidade

Essa propriedade trata dos materiais que podem ser transformados em fio, como por exemplo, o alumínio, o cobre, entre outros…

7ª) Solubilidade

Essa propriedade diz respeito a materiais que se dissolvem e os que não se dissolvem, ou seja, trata de misturas homogêneas e misturas heterogêneas.

Adiciona-se uma pequena quantidade de açúcar em um copo com água, o açúcar se dissolve completamente, logo se dá uma mistura homogênea, porém se adicionarmos areia em um com água, por menor que seja a quantidade ela não vai ser dissolvida, logo se dá uma mistura heterogênea.

Em 100g de água é possível dissolver 220g de açúcar, se a água estiver aquecida a 30ºC e tentarmos dissolver mais que 220g de açúcar o excesso fica depositado no fundo do recipiente. 

Vejamos a ilustração:

A matéria que se dissolve em máxima quantidade recebe o nome de coeficiente de solubilidade. Essa matéria é dependente da temperatura, pois quando temos 100 gramas de água em uma temperatura de aproximadamente 50ºC, somente 260 gramas de sacarose irão conseguir dissolver. Isso explica o fato do café ser feito somente em água quente, pois ele não é solúvel em fria.

Propriedades organolépticas

São propriedades capazes de impressionar nossos sentidos. Vejamos: 

A cor é percebida pela visão, ex.: a mata é verde.
O brilho também é percebido pela visão, ex.: metal polido, por refletir a luz.
O sabor é percebido pelo paladar, ex.: o açúcar é doce.
O odor é percebido pelo olfato, ex.: á água é inodora.

Notas

As propriedades físicas são capazes de identificar algumas soluções, como por exemplo, ponto de ebulição, de fusão, densidade e etc.

As propriedades químicas geralmente não identificam as soluções, pois é preciso que ocorra uma reação química.

A Propriedade Física Intensiva é inseparável à origem do material, como por exemplo, o sabor, a cor, a transparência entre outros.

A Propriedade Física Extensiva é totalmente dependente da quantidade do material, como por exemplo, a massa.

Pela Web

Sair da versão mobile