O que são Sistemas Lineares

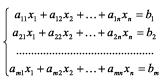
É todo conjunto m equações lineares e n incógnitas, da forma

– x1, x2, …,xn são incógnitas

– aij são os coeficientes

– bi são os termos independentes

Se bi =0 o sistema é homogêneo

Classificação

Um sistema linear pode ser:

Possível { Determinado (solução única).

Indeterminado (infinitas soluções)}.

Impossível – Não admite solução.

Um sistema homogêneo nunca será impossível, pois admitirá pelo menos a solução trivial ( 0, 0, …, 0).

Regra de Cramer

Qualquer sistema em que m = n e D 0 (determinante da matriz dos coeficientes das incógnitas) é possível e determinado.

A solução é única e dada por: 

Sistema Escalonado

É todo sistema no qual:

a) as incógnitas das equações lineares estão escritas numa mesma ordem;

b) em cada equação há pelo menos um coeficiente não nulo;

c) o número de coeficientes nulos aumenta de equação para equação.

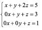
Exemplo:

Pela Web

Sair da versão mobile