Os sistemas de equação são ferramentas muito comuns na resolução de problemas em várias áreas (matemática, química, física, engenharia…) e aparecem sempre em concursos e exames, como é o caso do vestibular. Os sistemas, geralmente, são resolvidos com uma certa facilidade o que causa muitas vezes uma desatenção, por parte do aluno, já que ele não tem dificuldade para encontrar a solução do sistema. Mas ele esquece que a dificuldade está na armação e principalmente na solução final da questão. Os sistemas são ferramentas que mesmo funcionando necessitam de alguém que saiba o construir com elas.
Resumo:
Métodos de resolução de sistemas de equações do 1º grau
Além de saber armar o sistema é bom saber fazer a escolha pelo método mais rápido de resolução.
Vou apresentar três métodos sendo que o mais utilizado é o método da adição.
1º Método da adição
Este método consiste em deixar os coeficientes de uma incógnita opostos. Desta forma, somando-se membro a membro as duas equações recai-se em um equação com uma única incógnita.
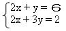
EXEMPLO:
1º passo: vamos multiplicar a primeira linha por -1 para podermos cortar –2x com 2x
2º passo: Substituir y = – 2, em qualquer um das equações acima e encontrar o valor de x.
3º passo: dar a solução do sistema.
S = { (4, -2) }
2º Método da substituição
Este método consiste em isolar uma incógnita numa equação e substituí-la na outra equação do sistema dado, recaindo-se numa equação do 1º grau com uma única incógnita.
EXEMPLO:
1º passo: vamos isolar o y na primeira equação para podermos substituir na Segunda equação.
2º passo: Substituir y = 6 – 2x, na segunda equação para encontrar o valor de x.
3º passo: Substituir x = 4 em y = 6 – 2x, para encontrar o valor de y.
y = 6 – 2x
y = 6 – 2.4
y = 6 – 8
y = -2
4º passo: dar a solução do sistema.
S = { (4, -2) }

