Progressão Geométrica (P.G)

Elas tratam de seqüências que podem representar crescimento de populações, cálculos de juros compostos, nascimento de novos galhos em uma árvore e tudo que aumente ou diminua segundo uma constante, a razão. Veremos que esta seqüência é “ mais rápida ” que a P.A tanto no crescimento como no decrescimento, pois sua razão é obtida pela divisão do termo pelo seu antecessor. 

II – Formulário:

1o – Termo Geral: 

an = a1 . qn-1
an = Termo geral
  a1= 1º Termo
   n = Número de termos 
   q = Razão 

2 o – Propriedades:

1º) q = (a2 / a1 ) = (a3 / a2 ) = (a4 / a3) = constante

2º) a2 2 = a1 . a

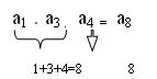
OBS: Se a1 = q temos ainda: a1 . a3 = a4

( A soma dos índices de cada lado devem ser iguais ) 

3o – Fórmula da Soma dos termos de uma P.G

a) P.G Finita: ( limitada) 

Sn = [ a1 . (qn – 1)] / q – 1

b) Limite da soma de uma P.G infinita : (ilimitada)

Sn = a1 / 1 – q 

O mais utilizado é o limite da soma da P.G infinita.

Os alunos confundem muito quando é necessário utilizar o termo geral ou a soma dos termos.

A dica é: 

Numa seqüência, o termo geral fornece o valor naquela posição e a fórmula da soma fornece a soma de todos os termos, incluindo o daquela posição (limitada)

Ex.: no crescimento de uma comunidade que se comporta como P.G, o número de pessoas que nascem em determinado ano é obtido pelo an e o total de pessoas até aquele ano, incluindo aquele ano é o Sn.

4o – Produto dos termos de uma P.G. finita:

Pn = a1n . q n.(n-1)/2

OBS: A P.G pode ser aplicada para cálculos de matemática financeira quando se tratar de “juros sobre juros”, ou seja, juros compostos.

Ex. : Um valor V é aplicado a juros de 10% ao mês. Sendo juros compostos.

O termo geral fornece o valor acumulado (valor + juros) e q é ( 1 – a taxa ) se for desconto ou ( 1 + a taxa ) se for aumento.

Pela Web

Sair da versão mobile