Produtos dos Termos de uma P.G. Finita

Podemos calcular o produto de n termos de uma P. G. finita por meio da seguinte fórmula:

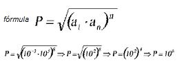
Aplicação

Determinar o produto dos termos da P. G.

(10-3, 10-2, 10-1, 10, 102, 103, 104, 105).

Solução:

Como todos os fatores são positivos, o produto é positivo. O produto será determinado pela 

Pela Web

Sair da versão mobile