Operações na forma trigonométrica

13. Operações na forma trigonométrica

Multiplicação

1) Considere c1 = ρ1 (cos θ1 + i . sen θ1) ≠ 0 e c2 = ρ2 (cos θ2 + i . sen θ2) ≠ 0 

Logo

c1 . c2 = [ρ1(cos θ1 + i . sen θ1)] . [(ρ2 (cos θ2 + i . sen θ2)] ⇔ 

⇔ c1 . c2 = (ρ1 . ρ2) . [(cos θ1 . cos θ2 – sen θ1 . sen θ2) + i(sen θ1 . cos θ2 + sen θ2 . cos θ1)] ⇔ 

⇔ c1 . c2 = (ρ1 . ρ2) . [cos (θ1 + θ2) + i . sen (θ1 + θ2)] pois

2) Conclusão: o módulo do produto é o produto dos módulos e o argumento do produto é a primeira determinação positiva ou nula da soma dos argumentos. 

3) Veja a representação: 

4) Este resultado também pode ser generalizado para n fatores. Veja:

c1 . c2 . c3 . … . cn = ( ρ1 ρ2 ρ3 … ρn) . [cos (θ1 + θ2 + θ3 + … + θn) + i . sen (θ1 + θ2 + θ3 + … + θn)] 

Divisão 

1) Considerando c1 = ρ1 (cos θ1 + i . sen θ1) ≠ 0 e c2 = ρ2 (cos θ1 + i . sen θ1) ≠ 0

Logo

2) Conclusão: o módulo do quociente é o quociente dos módulos e o argumento do quociente é a primeira determinação positiva ou nula da diferença dos argumentos. 

3) Veja a representação: 

Potenciação com expoente inteiro 

Considere c = ρ . (cos θ + i . sen θ) ≠ 0, nesse caso cn é o produto de n fatores iguais a c, logo:

2) Expoente n = 1

c1 = c = ρ . (cos θ + i . sen θ) = ρ1 . [cos (1 . θ) + i . sen (1 . θ)]

Nesse caso a fórmula (I) é equivalente para n = 1

3) Expoente n = 0

c0 = 1 = 1 . (cos 0 + i . sen 0) = ρ0 . [cos (0 . θ) + i . sen (0 . θ)]

Nesse caso a fórmula (I) é equivalente para n = 0 

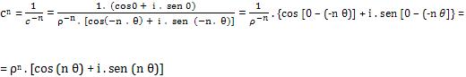
Considerando n < 0 logo – n > 0, sendo assim a fórmula (I) é equivalente para –n. Em vista disso:

Nesse caso a fórmula (I) é equivalente para n < 0

5) Conclusão: Se c = ρ (cos θ + i . sen θ) ≠ 0 e n ∈ Z, nesse caso o módulo de cn é ρn e o argumento de cn é a primeira determinação positiva ou nula de nθ. 

6) Veja a representação: 

Radiciação

1) Definição

Um número a será considerado uma raiz enésima de c somente quando elevado ao expoente n reproduzir a.

Veja a representação

2) Raiz aritmética

Conforme a definição podemos dizer, por exemplo, que os números 4 e -4 são as raízes quadradas de 16, pois (-4)2 = 42 = 16. Por isso, sabemos que o número real 4 é a raiz quadrada aritmética de 16 e é representado por  . Logo, o número real negativo -4 é simbolizado por , pois ele é simétrico de 3.

Portanto:

Considerando , podemos afirmar a existência e unicidade do número positivo , denominado a raiz enésima aritmética de a. 

3) Cálculo das raízes enésimas

Considere um número complexo como c = ρ(cos θ + i . sen θ) ≠ 0 e sua raiz enésima como: ck = ρk(cos θk + i . sen θk).

Conforme a definição, pela fórmula de Moivre, temos: 

Conclusão:

Em (I) o módulo de todas as raízes enésimas de c é 

Em (I):

Portanto, só há n valores diferentes de θk, são eles: θ0, θ1, θ2, …, θn-1

4) Conclusão: Todo número complexo c = ρ (cos θ + i . sen θ) ≠ 0 admite b raízes enésimas cujos módulos são todos iguais a e cujos argumentos são:

Estes argumentos são os n primeiros termos de uma progressão aritmética com primeiro termo igual a  e razão igual a .

Veja a representação:

Considerando c = ρ (cos θ + i . sen θ) ≠ 0 e ck uma de suas raízes enésimas, logo: 

Pela Web

Sair da versão mobile